ADI 出品的 AD5320 是一顆 12 位元/2.7 伏特至 5.5 伏特的單供電兼輸出範圍/輸出取樣率最高可以達 100 kSps 的數位至類比轉換器(DAC)。從商業角度來看,其解析度與取樣率都略顯不足。考量到價格優勢與部署的易用性,以一般通用的量測應用來說綽綽有餘。

類似架構 DAC 還有 TI 的 DAC121S101 與 Maxim 的 MAX5712。
以下以 AD5320 為範本。相關規格皆以 B 規為主。文中部分圖文取自產品規格書(2015 年 12 月)。
針腳定義

AD5320 的針腳數跟封裝一樣精簡。以 SOT-23 的裝封來說(上圖),剛好塞滿了所有的功能針腳。功能性來分組,其中一側 1 至 3 號針腳為類比輸出(VOUT)與電源(VDD),另一側的 4 至 6 號針腳則是數位控制的部分。可以看到電源與地(ground)並沒有就類比或數位特別區分,原則上仍是 IC 的一側為類比,另一側是數位。
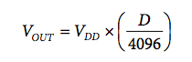
輸出電壓
AD5320 並沒有輸出參考電壓(VREF+ 或 VREF-)針腳的設計,因此 VOUT 的輸出上限是由 VDD 來決定,輸出範圍為 0 伏特至 VDD。VDD 則可以設定在 2.7 至 5.5 伏特之間。

VOUT 的輸出則是由下面的公式決定:

其中 D 為用來設定輸出電壓的十進位制的數位碼。若 VDD 為 5 伏特,D 為零時輸出為 0,D 為 4095 時則輸出接近 5 伏特。
AD5320 的 DNL 在 1 LSB 以下,Zero-code error 只有 5 mV,Full-scale error 大概 7 mV;上升速率為 1V/μs。整體的表現中規中舉,適合於低頻的應用。
數位介面
數位介面只有三隻針腳,以一般的 3 線的 SPI 就能控制。
SCLK 的速度最高可到 20 MHz,輸出電壓的設定時間(Settling time)為 8 μs,平均來說可到達約 100 kSps 的輸出取樣率。

低功率模式
AD5320 能啟動低功率模式(Power-down modes),將 VOUT 的輸出阻抗由 1 Ω 設定為 1 kΩ、100 kΩ 或高阻抗(Tri-state)。讓 DAC 在不工作時,依需求將 VOUT 針腳設定在特殊電阻值下。在低功率模式下,電源針腳 VDD 的需求電流可下降至原本的 1%。
Bipolar 的輸出
AD5320 為 0 伏特至 VDD 這種 Unipolar 的輸出設計。若要將輸出範圍增加到如 ±VDD,需要外部電路才能達成。AD5320 的規格書內便有建議的設計:

就上圖來說,VDD 為 5 伏特,將 VOUT 接到一組非反向放大器上。非反向放大器的偏壓為 5 伏特(從 VDD 來的),即能將輸出電壓擴增到 ±5 伏特。需注意的是,這裡非反向放大器所使用的 OP 需為 rail-to-rail 類型的,否則無法到達 ±5 伏特的輸出上限。
電源的要求
由於電源針腳 VDD 同時也是輸出電壓的上限參考準位(VREF+),VDD 的精確度也影響輸出的能力。一般來說可以透過穩壓 IC(Regulater)或 LDO 來降轉出精確的 VDD 電壓。
由於 AD5320 的 VDD 需求電流很低,以參考電壓源(Voltage reference)來實作 VDD 也是可行的。參考電壓源的溫度特性通常較穩壓 IC 或 LDO 來得好,唯設計上需考量負載去加總整體的電流需求,方能選擇出合適的參考電壓源。
電源與電路佈局
前面提到 AD5320 的數位與類比電源並非分開的設計。從雜訊抑制的角度,電路板仍需要區分為類比地(AGND)與數位地(DGND),其中類比地與 AD5320 的 GND 針腳相連,做為 VOUT 的輸出參考基準。類比地與數位地兩地之間以單點的方式相連,連接點需靠近 IC 本身。
旁路電容(Bypass capacitor)建議放置一個 10μF 的鉭質電容與 0.1μF 的陶瓷電容,品質當然愈高愈好(低 ESR 的、NP0 或 C0G 的),擺放位置臨近於 IC。
Bipolar ±10V 的參考電路

前面提到 Bipolar 的輸出範圍為 ±5 伏特,在後端加上一組倍率為 2 的非反向放大器,就能把輸出範圍提高到傳統量測系統的 ±10 伏特。因為這時候的電源通常是 ±15 或 ±12 伏特,因為 OP 放大器的選用上也容易多了。一般建議選 Input offset voltage 與 Input bias current 較低的 OP 放大器。
結語
整體來看,AD5320 雖然只有 12 位元的解析度,但若是從非商用的測試需求來看,其體積、易用性與價格仍具一定的優勢,也不失為初心者練習控制 DAC 的好對象。
發表留言